速度式流量計的分類及結構原理
點擊次數:5556 發布時間:2020-04-25 08:31:55
速度式流量計的原理和水輪機相似,用流體沖激葉輪或渦輪旋轉,轉速與瞬時流*成正比,一段時間內的轉數與該時間段的累積總流量成正比.由于靠流體的流速工作,故有“速度式”之稱。
1.葉輪式
家用自來水表就是典型的葉輪式流量計,其用途只在于提供總用水量,以便按量收費.自來水表的結構如圖4.3.1.自進水口1流入的水經簡狀部件2周圍的斜孔,沿切線方向沖激葉輪3。葉輪軸經過齒輪逐級減速,帶動各個十進位指針以指示累積總流量,齒輪裝在圖中4處.此后,水流再經筒狀部件上排各孔5,匯總至出水口6。


為了減少磨損,葉輪及各個齒輪都采用較輕而耐磨的塑料制造.這樣也避免了銹蝕。
葉輪式自來水表比較簡單價廉,但精確度不高一般只有2級左右。
同樣的原理也可以用在氣體流量測量上,國產QBJ-A型高壓力然氣表就是葉輪式,用在4kgf/cm2管路上,由降壓至700mmH2O的燃氣經五個噴嘴吹動葉輪。
2.渦輪式
如果說葉輪式流量計類似輻流式水輪機.渦輪流量計就類似軸流式水輪機,甚至可以看成是個微型水輪發電機組。在圖4.3.2中畫出了它的縱剖視圖。


在管形殼體1的內壁有導流架2,一方面促使流體沿軸線方向平行流動,另一方面支承了渦輪的前后軸承3和6。渦輪4上裝有螺旋槳形的葉片,在流體沖激下旋轉。為了測出渦輪的轉速,管壁外裝有帶線圈的永久磁鐵5.并將線圈兩端引出。由于渦輪材質具有一定的鐵磁性,當葉片在永久磁鐵前掃過時,會引起磁通的變化,因而在線圈兩端產生感應電勢。此短暫的電勢起伏經過放大和整形,便可得到足以測出額率的方波脈沖,或將脈沖送入計數器以求累積總流量。可見,渦輪流量計實際上是個能發出電脈沖的流量傳感器.配以頻率轉換器就成為流量變送器。
渦輪流量計有較高的精確度.基本誤差可小于±(0.25%"~1.5%),而且量程寬,*大流量與*小流量之比達到l0~30,動態特性好,時間常數只有1~50ms,能耐高達5X1O7Pa的壓力.而其使用溫度范圍寬.從一240℃到540℃都有產品。輸出脈沖信號又便于和計算機相連.是很受歡迎的一種儀表。
渦輪軸承是影響推廣使用的薄弱環節,有各種減小磨損的設計和工藝.但仍必須嚴格要求流體純凈。此外,應裝在水平管道中。
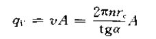
在渦輪葉片的平均半徑r。處取斷面.并將圓周展開成直線,便可畫出圖4.3-3。


設流體速度。完全平行于軸向,葉片的切線速度u垂直于v若葉片的傾斜角為a,則可寫出

式中:n為渦輪的轉速(單位是r/min):
w為渦輪的角速度(單位是rad/min )。
葉片縫隙間的有效流通面積為A.則瞬時容積流量為

如渦輪上葉片總數為Z.則線圈輸出脈沖頻率f就是60nZHz,代入式(4.3.1)可得

式中:ε為儀表常數,它完全取決于結構參數;制造完成后就恒定不變。
根據以上分析可知.理想情況下qv與f為正比關系。但實際儀表里有軸承摩擦力矩、電磁阻力矩、流體對渦輪的粘性摩擦阻力等因素,所以f并不嚴格地保持常數。特別是在流量很小的情況下,阻力矩的影響相對較大,在流體從層流到紊流變化時.ε也不穩定。所以*好應用在量程上限的50%以上,有比較滿意的線性關系。
除工業自動化儀表之外,氣象儀器和水文儀器中也常用葉輪或渦輪測風速和流速。
上一篇:腰輪流量計的基本概述及工作原理
下一篇:粉粒體流量變送器的工作原理


